Skip to main content
Skip to footer
Reviews
Google Reviews
Youtube Reviews
Client Reviews
Placement
Life Changing Stories
Alumni's Career Growth
Placement Posts
Offer Letters
Gallery
Offer Letters
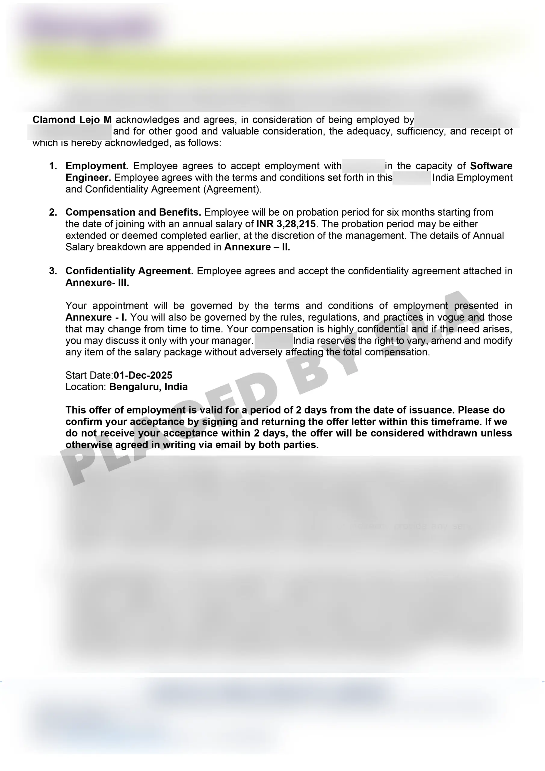
CTC:
All CTC
0 - 2.5L
2.5 L - 5L
2.5L - 5L
5L - 7.5L
5L and above
1
2
3
…
20
→